交通事故総合分析センターという公益財団法人(ITARDA)がある。道路交通法に基づいて国家公安委員会から認定され、交通に関する各種の統計を、警察庁を初め中央、地方の行政機関を横断して収集できる立場にある。
その広範にわたる数字を元に、ITARDAでは毎年夏前に前年度の数字を加えた交通統計という資料を発行している。
日本でユイレーシングスクールを初めて間もない頃、あるきっかけで交通事故の実態を知りたいと思いこの交通統計にたどりつき、それからは毎年入手してユイレーシングスクール独自のデータを作成しいる。
「あるきっかけ」についてはまたの機会にゆずるとして、今回はいくつかの数字を見てほしいと思う。
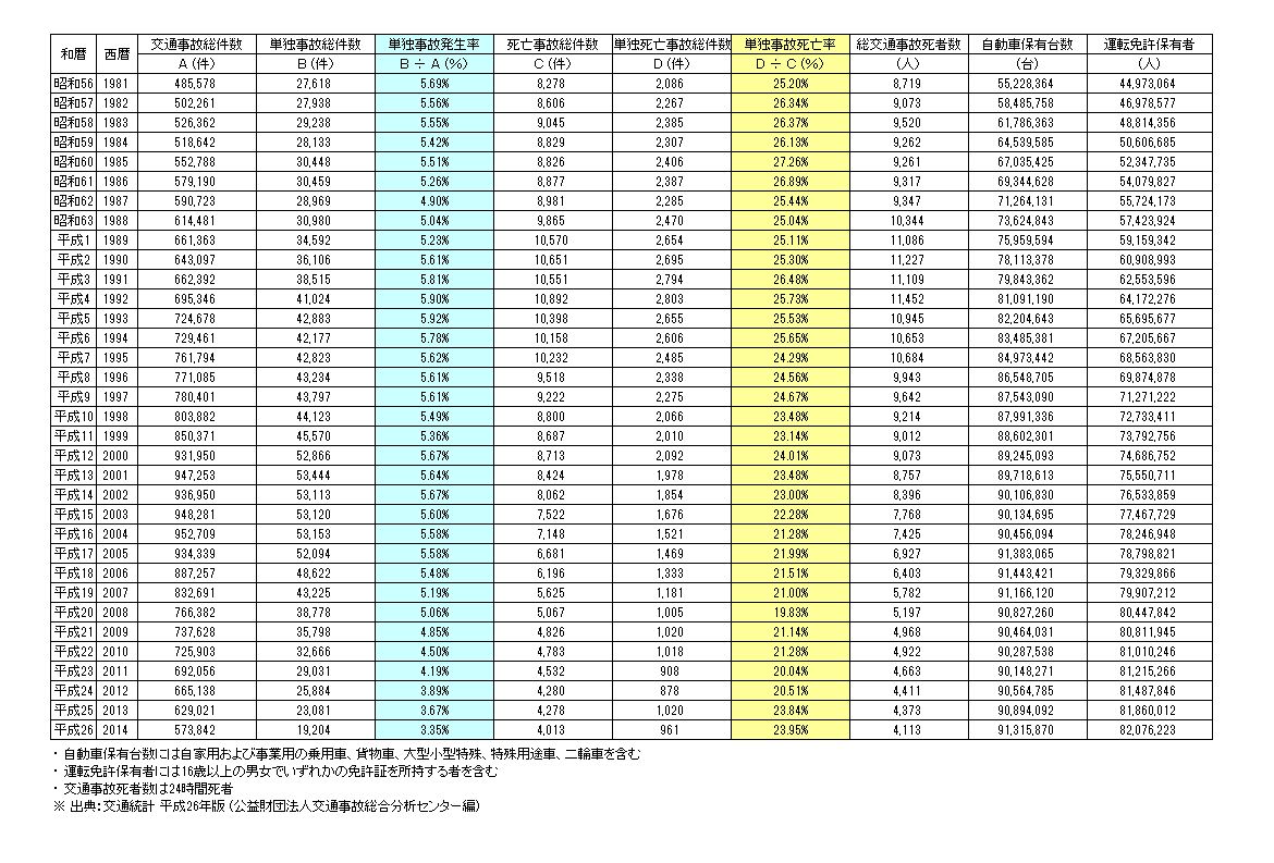
昨年度の数字。日本には8,200万人の運転免許保有者がいる。クルマ離れがニュースになるご時勢なのに保有者の数は増え続けている。
統計では4輪と2輪を合わせた、しかも自家用営業用の区別なく、大型特殊車まで含んだ数字を自動車保有台数としているのだが、それによれば国内で9,100万台の車両が走っている。こちらも毎年増加している。
想像できないくらい大きな規模の交通というものが存在していることがわかる。ボク自身が8,200万分の1であって、9,100万分の3の車両を所有していることになるのだが、現実味は薄い。それほどクルマが普及していることになり、運転が日常生活の一部になりきっていることになる。
しかし、クルマは便利で有益で楽しい乗り物であるはずなのだけれど、統計をひもとくと少しばかり残念な数字が目に止まる。
ひと頃より、「速度を出させない」施策が、いいかどうかは別にして、功を奏しているのだろう、交通事故の総数は減少傾向にある。死にいたる事故の件数も減ってきている。もっともわが国は24時間死者しかカウントしていないから、ひょっとすると交通事故が原因で亡くなった方の数字はもっと大きいかも知れない。
それはそれとして、ユイレーシングスクールが注目しているのは単独事故の件数とそれによる死者数だ。
統計では事故を車両対車両、車両対人、車両単独の3つに分類している。前ふたつは相手があっての事故だけれど、車両単独の事故は、多分間違いなく、運転している本人が避けようとすれば、或いは事故を防ごうとすれば防げた事故であるはずだ。
そして、交通事故そのものが減ってきている中で単独事故の件数も減少しているのだが、交通事故の原因を死者数から眺めると驚くべき数字が割り出される。
昨年度に起きた交通事故のうち3%強が単独事故だけど、死亡事故に限って見ると24%が単独事故が原因、という事実。
例えが適切ではないかも知れないが、『100件の交通事故のうち単独事故は4件未満に過ぎないのに、交通事故によって亡くなられた方の4人に1人が、避けようとすれば避けられた、あるいは避ける方法を知っていれば避けられたであろう単独事故が原因で亡くなっています』ということだ。
日本の交通全体の分母がとんでもなく大きいから、自分のこととして捉えるの無理だとは思うけど、クルマを運転している人が事故を起こす可能性は決してゼロではない。
しかも、いったん単独事故が起こすと死にいたる可能性が高い、ということを、クルマを運転する人全てが意識しておいたほうがいいと思う。いささか暗澹たる気持ちでデータを更新するたび、厳に自分も戒めることにしている。
詳細までは分からないが、交通統計には単独事故の原因も載っている。これは勝手な想像だけど、もう少し集中して運転して、もう少し的確に状況を判断できて、もう少しクルマの運転操作に長けていたら、と思わざるを得ない数字ではある。




